(5)
Where, E – the energy consumed by the mine ventilation duct during ventilation, W; h – the resistance of the mine ventilation duct, N/m2; Q – the air volume passing through the mine ventilation fan, m3/s.
1.2.3 Mine ventilation duct ventilation electricity cost
The annual ventilation electricity fee for the mine ventilation duct is:
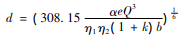
(6)
Where: C2 – the annual ventilation electricity cost of the mine ventilation duct, CNY; E – the energy consumed by the mine ventilation fan during ventilation, W; T1 – the daily ventilation time, h/d, (take T1 = 24h/d); T2 – the annual ventilation Time, d/a, (take T2 = 330d/a); e – power price of ventilation power, CNY/kwh; η1 – transmission efficiency of motor, fan and other equipment; η2 – efficiency of fan operating point.
According to the formula (5), the relevant parameters are substituted into the formula (6), and the annual ventilation electricity cost of the mine ventilation duct is obtained as:

(7)
1.3 Mine ventilation duct installation and maintenance costs
The installation and maintenance costs of the mine ventilation duct include the material consumption and worker wages when installing and maintaining the mine ventilation duct. Assuming that its cost is proportional to the purchase cost of the mine ventilation duct, the annual installation and maintenance cost of the mine ventilation duct is:
C3 = kC1 = k( a + bd) L ( 8)
Where, C3 – the annual installation and maintenance cost of the mine ventilation duct, CNY; k – the cost factor for the installation and maintenance of the mine ventilation duct.
1.4 Calculation formula of economic mine ventilation duct diameter
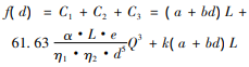
The total cost of the mine ventilation duct consumption includes: the sum of the purchase cost of the mine ventilation duct, the electricity cost of the mine ventilation duct when ventilation, and the installation and maintenance cost of the mine ventilation duct.
(9)
Taking the section d of the mine ventilation duct as a variable, the maximization of this functional expression is:
(10)
Let f1(d) = 0, then
(11)
Equation (11) is the calculation formula of the economical diameter mine ventilation duct for local ventilation.
To be continued…
Post time: Jul-07-2022